Bibm@th

Forum de mathématiques - Bibm@th.net

Bienvenue dans les forums du site BibM@th, des forums où on dit Bonjour (Bonsoir), Merci, S'il vous plaît...

Vous n'êtes pas identifié(e).

#1 24-10-2015 14:00:23

soso
Membre
Inscription : 18-11-2012
Messages : 158

exercice valeurs et vecteurs propre

bonjour,
j'ai fait un exo mais je ne tombe pas sur la même valeur que l'énoncé. Pouvez vous m'aider svp? merci d'avance
646931calcul.png
287486vecteurpropre.png

Hors ligne

#2 24-10-2015 17:37:30

freddy
Membre chevronné
Lieu : Paris
Inscription : 27-03-2009
Messages : 7 457

Re : exercice valeurs et vecteurs propre

Salut,

factorise [tex]\frac{1}{3}[/tex], non ?

Hors ligne

#3 24-10-2015 18:45:00

soso
Membre
Inscription : 18-11-2012
Messages : 158

Re : exercice valeurs et vecteurs propre

bonsoir, merci pour votre réponse
mais si je factorise je ne pourrai pas calculer le polynôme non? je n'ai pas compris...

Hors ligne

#4 24-10-2015 19:40:20

freddy
Membre chevronné
Lieu : Paris
Inscription : 27-03-2009
Messages : 7 457

Re : exercice valeurs et vecteurs propre

Re,

en réalité, par construction, ce coefficient est inutile et ne change rien à tes calculs, donc recommence en l'ignorant.

Souviens toi, à l'origine, on cherche tous les vecteurs X et coefficients[tex] \lambda[/tex] tels que [tex]AX= \lambda X [/tex],
soit [tex](3A - 3\lambda Id)X=0 [/tex]

A toi !

Hors ligne

#5 25-10-2015 09:00:12

soso
Membre
Inscription : 18-11-2012
Messages : 158

Re : exercice valeurs et vecteurs propre

d'acc merci je vais essayer ça et je vous dis

Hors ligne

#6 25-10-2015 10:35:19

freddy
Membre chevronné
Lieu : Paris
Inscription : 27-03-2009
Messages : 7 457

Re : exercice valeurs et vecteurs propre

Re,

j'ai enfin fait les calculs, ton énoncé doit être inexact ou incomplet, regarde mieux.
C'est normal que tu  ne trouves pas.

EDIT : non, finalement, c'est moi qui ai fait une erreur de calcul ... :-)

Dernière modification par freddy (25-10-2015 12:48:41)

Hors ligne

#7 25-10-2015 11:35:05

soso
Membre
Inscription : 18-11-2012
Messages : 158

Re : exercice valeurs et vecteurs propre

Re, merci pour votre réponse
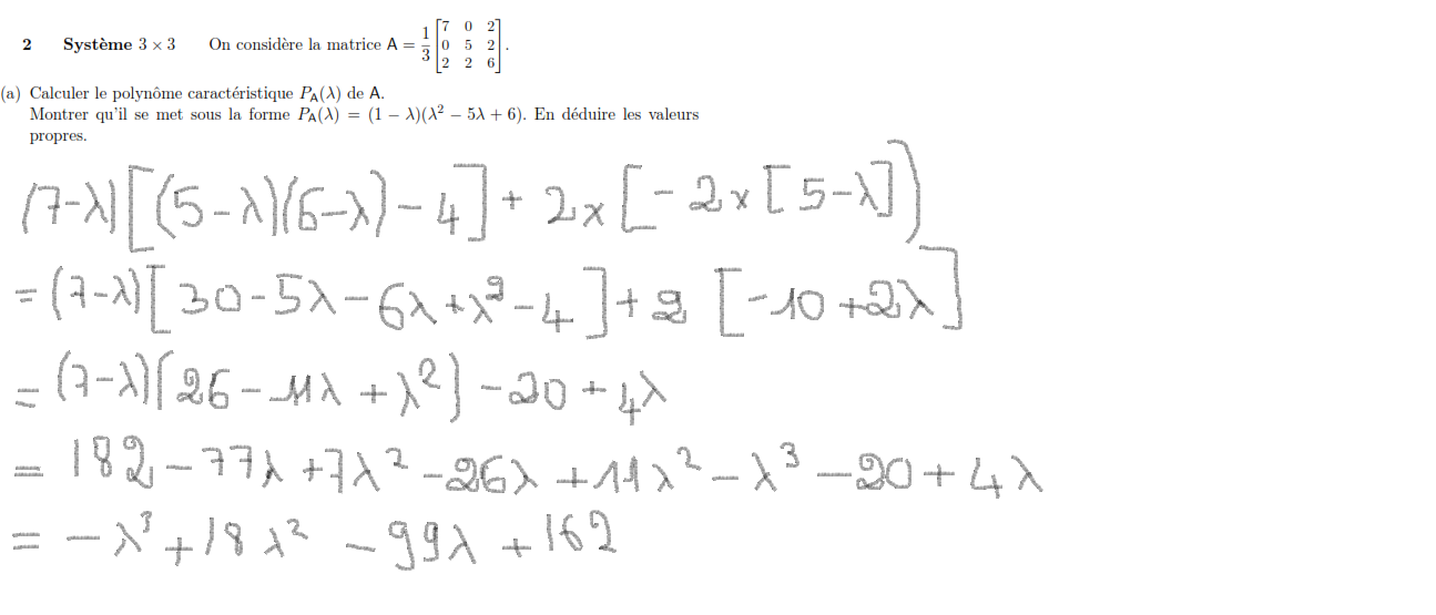
j'ai refais 15 fois le calcul et je tombe sur les mêmes résultats que ce soit pour les vecteurs propres ou le polynôme....ça me rend dingue
voici l'énoncé complet
suivi de ce que j'ai fait
v4xf.png
a5zi.png

Hors ligne

#8 25-10-2015 12:47:03

freddy
Membre chevronné
Lieu : Paris
Inscription : 27-03-2009
Messages : 7 457

Re : exercice valeurs et vecteurs propre

Re,

tu as omis le coeff. 1/3, car les racines de ton polynôme du troisième degré sont de la formes 3, 6 et 9 :-)

Hors ligne

#9 25-10-2015 13:04:11

soso
Membre
Inscription : 18-11-2012
Messages : 158

Re : exercice valeurs et vecteurs propre

re, merci pour votre réponse
mais vous m'avez dit de faire le calcul sans considérer 1/3 ...et même en prenant 1/3 je ne trouve pas le bon résultat
pouvez vous me montrer comment faire pour les vecteurs propre (un exemple) svp ?

Hors ligne

#10 25-10-2015 13:31:57

soso
Membre
Inscription : 18-11-2012
Messages : 158

Re : exercice valeurs et vecteurs propre

je ne comprends plus rien....

Hors ligne

#11 25-10-2015 20:06:30

Fred
Administrateur
Inscription : 26-09-2005
Messages : 7 348

Re : exercice valeurs et vecteurs propre

Salut,

  Recommençons par le début. Calcule à nouveau le polynôme caractéristique de A. Tu as fait une erreur de calcul en développant le premier terme. Prends ton temps pour bien le développer...

F.

Hors ligne

#12 25-10-2015 20:27:27

soso
Membre
Inscription : 18-11-2012
Messages : 158

Re : exercice valeurs et vecteurs propre

bonsoir et merci pour votre réponse
je ne vois pas mon erreur c'est bien (7/3)-lambda vu que c'est la premiere ligne et premiere colonne donc (-1)²
pouvez vous m'expliquer pour les vecteurs propre aussi? (au moins la méthode pour mes partiels de demain)

Hors ligne

#13 26-10-2015 07:52:58

Fred
Administrateur
Inscription : 26-09-2005
Messages : 7 348

Re : exercice valeurs et vecteurs propre

C'est en passant de la deuxième ligne à la troisième ligne de ton calcul du polynôme caractéristique qu'il y a une erreur.
Pour chercher les vecteurs propres, tu dois résoudre le système comme tu l'as commencé. Normalement, une des équations ne doit servir à rien et tu peux exprimer une inconnue en fonction des autres.

F.

Hors ligne

Réponse rapide

Veuillez composer votre message et l'envoyer
Nom (obligatoire)

E-mail (obligatoire)

Message (obligatoire)

Programme anti-spam : Afin de lutter contre le spam, nous vous demandons de bien vouloir répondre à la question suivante. Après inscription sur le site, vous n'aurez plus à répondre à ces questions.

Quel est le résultat de l'opération suivante (donner le résultat en chiffres)?
soixante quinze moins trente six
Système anti-bot

Faites glisser le curseur de gauche à droite pour activer le bouton de confirmation.

Attention : Vous devez activer Javascript dans votre navigateur pour utiliser le système anti-bot.

Pied de page des forums