Formulaire - Intégrer en toute simplicité (partie 2)
Même pour des fonctions simples, on ne peut pas toujours trouver une primitive permettant de calculer une intégrale. Il existe cependant une méthode très efficace pour calculer exactement certaines intégrales, utilisant l'analyse complexe.Le théorème des résidues
Théorème : Soit U un ouvert de C, et f une fonction holomorphe
dans U-S, où S est une partie finie de U. Soit également K une partie de U compacte
à bord régulier, et dont la frontière ne contient aucun point de S. Alors on a


Res(f,a) est le résidu de f en a, c'est-à-dire le coefficient devant 1/(z-a) dans le développement en série de Laurent de f en a. On le calcule en général en effectuant un développement limité de f en a.
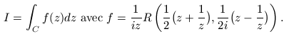
Intégrales trigonométriques
Soit R(x,y) une fraction rationnelle dont le dénominateur ne s'annule pas
sur le cercle x2+y2=1, on cherche à calculer :



Exemple :
Dans ce cas,
, dont l'unique pôle est
. On obtient donc :

Intégrales d'une fraction rationnelle sans
pôles réels
On cherche à calculer
, où P et
Q sont des polynômes, Q n'a pas de racines réelles, et deg(P)>deg(Q)+1. L'idée
est d'intégrer la fonction f=P/Q sur le demi-cercle situé dans le demi-plan
supérieur, et dont le diamètre est le segment [-R,R]. Soient z1, z2,...,
zn les zéros de Q situés dans le demi-plan supérieur. Dès que R est assez grand,
ils sont tous inclus dans le demi-disque délimité par le contour précédent. Si on note CR
un paramétrage positif du demi-cercle supérieur, on a donc :

,
ce qui donne finalement :

Intégrales de Fourier
On cherche cette fois à calculer
,
où f est une fonction intégrable sur R. Supposons que f se prolonge en une fonction
holomorphe sur C-A, où A est une partie finie ne coupant pas R.
Soient z1, z2,...,
zn les pôles de f situés dans le demi-plan supérieur. Alors on a :









