Forum de mathématiques - Bibm@th.net
Vous n'êtes pas identifié(e).
- Contributions : Récentes | Sans réponse
Répondre
Résumé de la discussion (messages les plus récents en premier)
- Bernard-maths
- 05-05-2024 09:39:50
La suite ...
4°) Equations MAX réduites :
Dans le 2°) nous avons utilisé des équations de plans, 14 en tout ! Dans la tentative d'explication, nous avons dit qu'on pouvait utiliser des équations plus complexes ...
Nous allons ici utiliser les équations connues de l'octaèdre et du cube.
Pour l'octaèdre : abs(x) + abs(y) + abs(z) = a > 0 , ici devient abs(x) + abs(y) + abs(z) - 1 = 0
Voyons dans le programme Maple :
wi ...
implicitplot3d(max(abs(x) + abs(y) + abs(z) - 1) = 0, x = -p .. p, y = -p .. p, z = -p .. p, grid = [g, g, g], style = patchnogrid);
On prend donc le max( ... ) du membre de gauche, en gras. Figure à la fin ...
Pour le cube : max(abs(x), abs(y), abs(z)) - k = 0
Voyons dans le programme Maple :
wi ...
implicitplot3d(max(abs(x), abs(y), abs(z)) - k = 0, x = -p .. p, y = -p .. p, z = -p .. p, grid = [g, g, g], style = patchnogrid)
On reprend directement l'équation du cube ... Figure à la fin ...
Reste l'octaèdre tronqué :
wi ...
implicitplot3d(max((abs(x) + abs(y) + abs(z) - 1), (max(abs(x), abs(y), abs(z)) - k) )= 0, x = -p .. p, y = -p .. p, z = -p .. p, grid = [g, g, g], style = patchnogrid)
Il faut prendre le max des 2 équations de l'octaèdre ET du cube, qui sont mises en gras entre parenthèses (inutiles).
Pour les programmes :
- Bernard-maths
- 02-05-2024 15:52:49
La suite ... tentative d'explication :
Pour essayer de "voir" comment fonctionne MAX, on peut imaginer les n plans d'équations négatives vers un point M à l'intérieur de l'objet.
En se déplaçant ce point M va se heurter à un 1er plan pour lequel on aura max = 0, et < 0 pour les autres plans.
En glissant sur ce plan le point va rencontrer un autre plan (arête commune aux 2 plans) et changer de plan ...
Jusqu'à parcourir tous les plans, sur lesquels max atteint 0 ... les portions de plans pour max = 0 seront les faces de l'objet !
Ce phénomène fonctionne aussi si les équations sont plus généralement celles d'objets plus complexes que des plans ...
MAIS il faut bien faire attention aux signes pour obtenir l'objet voulu !
VOIR exemple de 3 octaèdre pour fabriquer l'icositétraèdre trapézoïdal : https://www.bibmath.net/forums/viewtopi … 12#p110212
- Bernard-maths
- 30-04-2024 10:33:36
La suite ...
2°) Equations MAX : https://www.bibmath.net/forums/viewtopi … 695#p94695
Pour écrire une équation MAX d'un objet avec n équations EQ1 ... EQ2 ... EQn, il faut que d'un point intérieur à l'objet chaque EQi présente une valeur négative pour ce point ...
On se place dans le cas où une équation cartésienne g(x, y, z) = 0 d'une objet partage l'espace en 3 zones : celle de l'objet avec g(x, y, z) = 0, la zone d'espace où g(x, y, z) > 0, et la zone où g(x, y, z) < 0.
Ainsi pour les équations de plans on va les écrire sous la forme f(x, y, z) - k =0, avec k > 0.
Les programmes Maple pour les 3 figures, et les figures :
- Bernard-maths
- 29-04-2024 14:44:49
La suite ...
L'octaèdre tronqué porte un autre nom, donné par : solide de Kelvin, heptaparalléloèdre (7 couples de faces parallèles).
En effet on décompte 6 faces carrées sur les faces du cube, et 8 faces hexagonales sur les faces de l'octaèdre,
donc 14 faces 2 à 2 parallèles.
Les équations des 14 plans contenant ces faces sont : |x| = k, |y| = k, |z| = k, pour le cube.
Puis |± x ± y ±z| = 1 pour l'octaèdre.
Il existe alors plusieurs formes d'équations pour l'octaèdre tronqué, selon qu'il est plein, ou en surface avec les 14 polygones en faces.
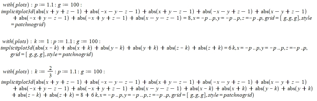
1°) Equations pleines :
Il est facile de trouver les équations pleines du cube et de l'octaèdre, puis d'en déduire celle le l'octaèdre tronqué.
Si on prend comme exemple, sur une droite orientée : abs(x-a) + abs(x+a) = 2a, avec a>0 ; on constate que les x solutions sont ceux de l'intervalle [-a, a]. Donc tous ceux compris entre -a et a ... segment plein !
Cube : |x - k| + |x + k| + |y - k| + |y + k| + |z - k| + |z + k| = 6k
Octaèdre : |x+y+z-1|+|-x-y-z-1|+|x+y-z-1|+|-x-y+z-1|+|x-y+z-1|+|-x+y-z-1|+|-x+y+z-1|+|x-y-z-1|=8
Octaèdre tronqué : |x+y+z-1|+|-x-y-z-1|+|x+y-z-1|+|-x-y+z-1|+|x-y+z-1|+|-x+y-z-1|+|-x+y+z-1|+|x-y-z-1|+|x - k| + |x + k| + |y - k| + |y + k| + |z - k| + |z + k|=8 + 6k
Voici une image des 3 objets, tracés avec Maple :
On voit des imperfections dans les tracés, ce qui arrive souvent pour les équations "pleines". Surtout pour le tronqué (avec k = 2/3) qui est "plein de trous" !
Voici les programmes Maple pour les 3 figures ;
- jelobreuil
- 28-04-2024 17:07:46
Re-bonjour, Bernard,
En me basant sur ton superbe dessin ci-dessus, j'aboutis aux résultats suivants :
hauteur h du demi-octaèdre supérieur, soit une pyramide à base carrée et faces tréquis ("tréqui" = triangle équilatéral) : si a symbolise la longueur de l'arête de l'octaèdre de départ, qui est celle des côtés aussi bien de la base que des faces de cette pyramide, on a h² + a²/2 = a², d'où h = a/rac2 (rac2 = racine carrée de 2).
Si k symbolise la demi-hauteur du cube tronquant, la hauteur des petites pyrabacas est égale à h - k = a/rac2 - k ; si c symbolise la longueur du côté de la base de ces petites pyrabacas dont les faces sont encore des tréquis, leur hauteur est aussi égale à c/rac2 ; on obtient donc l'égalité suivante : c/rac2 = a/rac2 - k, d'où l'on tire c = a -k.rac2, en tant qu'expression de la longueur de toutes les arêtes de ces petites pyrabacas, et donc, de la longueur des côtés des faces carrées de l'octaèdre tronqué.
Quant à la longueur lh des côtés restants des faces hexagonales, elle est donnée par l'égalité :
lh = a - 2(a - k.rac2) = 2k.rac2 - a
Dans le cas particulier où les faces hexagonales sont des hexagones réguliers, l'égalité lh = c qui s'écrit 2k.rac2 - a = a - k.rac2 donne k = 2a/3rac2 = 2h/3, en accord avec ce que tu as indiqué dans le premier message.
Bien amicalement, Jean-Louis
- Bernard-maths
- 28-04-2024 10:29:08
La suite ...
Voici un programme GeoGebra pour animer ... https://www.cjoint.com/doc/24_04/NDCjAH … -04-25.ggb
k varie de 1/3 à 1 par pas de 1/12.
Pour k = 1, on a le cube, l'octaèdre est à l'intérieur du cube, ses 6 sommets sont les centres des 6 faces du cube.
Pour k = 1/3, on a loctaèdre, le cube est à l'intérieur de l'octaèdre, ses 8 sommets sont les centres des 8 faces de l'octaèdre.
Si l'octaèdre est "tronqué" par le cube, on peut aussi dire que le cube est "tronqué" par l'octaèdre !
- jelobreuil
- 28-04-2024 09:56:45
Ah oui, en effet, selon la longueur de l'arête du cube, les hexagones sont plus ou moins aplatis ou allongés ...
Donc, deux relations à calculer, celles liant à la longueur de l'arête du cube, d'une part la longueur du côté des carrés, d'autre part la fraction de longueur de l'arête de l'octaèdre constituant les autres côtés des hexagones ... Joli programme pour cet après-midi !
Bien amicalement, JLB
- Bernard-maths
- 28-04-2024 09:48:30
Bonjour JLB !
D'accord, mais en fonction de k bien sur !
- jelobreuil
- 28-04-2024 09:35:50
Bonjour Bernard,
Voilà qui est intéressant ! Un savant agencement de huit hexagones réguliers et de six carrés dont tous les côtés ont la même longueur ! J'avoue que je n'ai pas lu le début, ce que je vais faire illico !
Bien cordialement, JLB
Edit après lecture du début : plutôt que trouver des équations de ce solide, je préfère, dans l'immédiat, essayer de calculer la relation entre les longueurs du côté de tous ces polygones, de l'arête de l'octaèdre et de celle du cube ...
- Bernard-maths
- 28-04-2024 08:30:24
Bonjour à tous !
Je continue ici mes insinuations sur l'octaèdre tronqué, afin de développer tranquillement diverses méthodes.
Début : https://www.bibmath.net/forums/viewtopi … 84#p111684
Je vais appliquer à l'octaèdre tronqué diverses méthodes, développées par ailleurs ...
https://www.bibmath.net/forums/viewtopic.php?id=14136, entre autres ...
Commençons par une image :
qui montre qu'il peut être considéré comme l'intersection d'un octaèdre rouge par un cube vert.
Cet octaèdre tronqué est semi régulier, car il 6 faces carrées mais aussi 8 faces hexagonales, qui sont ici régulières.
Si on donne pour équation de l'octaèdre : |x| + |y| + |z| = 1, et pour coordonnées des sommets du cube (±k, ±k, ±k), la figure correspond à k = 2/3. Pour cette valeur les hexagones sont réguliers.

















