Division suivant les puissances croissantes
Théorème :
Soit $A,B\in K[X]$ avec $B(0)\neq 0$. Soit $n\geq 0$. Alors il existe un unique couple $(Q,R)\in K[X]^2$ tel que
$$A=BQ+X^{n+1}R,\ \deg(Q)\leq n.$$
La division suivant les puissances croissantes est donc une division un peu différente de la division euclidienne. On la pose en écrivant les polynômes suivant les puissances croissantes, puis on cherche à éliminer les termes constants, puis les termes en $X$, etc...
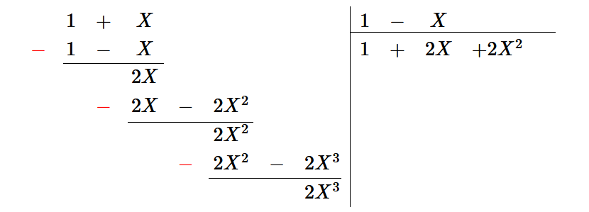
Exemple : $A=1+X$, $B=1-X$, $n=2$, alors $Q=1+2X+2X^2$ et $R=2$. On pose cette division un peu comme la classique division euclidienne, mais en écrivant les polynômes suivant les puissances croissantes, et en cherchant à éliminer d'abord les termes constants, puis les termes en X, etc...

La division suivant les puissances croissantes peut par exemple être utilisée pour obtenir les décompositions en éléments simples des fractions rationnelles.
Consulter aussi
Recherche alphabétique
Recherche thématique







